数学において、ホッジスター作用素(ホッジスターさようそ、Hodge star operator)、もしくは、ホッジ双対(ホッジそうつい、Hodge dual)は、ウィリアム・ホッジにより導入された線型写像である。ホッジ双対は、有限次元の向き付けられた内積空間の外積代数の上で定義されるk -ベクトルのなす空間から(n − k)-ベクトルのなす空間への線形同型である。
他のベクトル空間に対する多くの構成と同様に、ホッジスター作用素は多様体の上のベクトルバンドルへの作用に拡張することができる。
たとえば余接束の外積代数(すなわち、多様体上の微分形式の空間)に対して、ホッジスター作用素を用いてラプラス=ド・ラーム作用素を定義し、コンパクトなリーマン多様体上の微分形式のホッジ分解を導くことができる。
次元と代数
Vを向きつけられた内積空間とし、nをその次元とする。0 ≤ k ≤ n をみたす整数 k に対し、ホッジスター作用素とは、k-ベクトル(k-vectors)から (n − k)-ベクトル空間への同型写像のことである。この写像の k-ベクトルの像は、k-ベクトルのホッジ双対と呼ばれる。k-ベクトルの空間および(n − k)-ベクトルの空間の次元はともに二項係数
である。同じ体の上の同じ次元の 2つのベクトル空間は常に同型であるが、標準的方法で同型となるわけではない。しかし、この場合のホッジ双対は、内積とベクトル空間の向き付けを利用することによって、代数における二項係数のパターンを反映した同型を自然にさだめる。またこれによって k-ベクトル空間の内積を導く。自然な定義とは、この双対関係が理論の幾何学的な役割を果たすことを意味する。
最初の興味深い例は、3次元ユークリッド空間 V である。二項係数は 1, 3, 3, 1であり、ホッジ双対は、2つの 3次元空間、V 自身とV から導かれる 2つのベクトルのウェッジ積の空間の間の同型を確立する。詳細は、#例の節を参照。この場合には、まさに伝統的なベクトル解析であるクロス積(外積)である。クロス積は 3次元でのみ定義されるのに対し、ホッジ双対は一般次元で定義される。
k-ベクトルのホッジスターの定義
非退化な対称双線型形式(以下ではこれを内積とよぶ)を持つベクトル空間 V 上のホッジスター作用素(Hodge star operator)は、V の外積代数上の線型作用素であり、0 ≤ k ≤ n に対し、k-ベクトルを (n − k)-ベクトルに写すものである。
k-ベクトル上の内積 ⟨•, •⟩ は、V 上の内積から、 k-ベクトル α = α1 ∧ … ∧ αk と β = β1 ∧ … ∧ βk に対して、
と定め、これを双線形に拡張することで得られる。
n-ベクトル の空間は 1 次元で、したがって単位n ベクトル ω には 2 つの取り方がある。このどちらかを選ぶことにより V 上の向き付けが決まる。
ホッジスター作用素は以下の性質をもち、またこれにより決定される。2つの k-ベクトル α, β が与えられたとき、
である。
説明
V を内積をもつ n次元ベクトル空間とすると、上で述べたように各 k に対し にも内積を定めることができる。これらをすべて ⟨•, •⟩ で表すとする。 は 1 次元で、その長さ 1 のベクトルのうち一つ ω を固定して、これを向きとする。
k-ベクトル λ と(n − k)-ベクトル θ に対し が得られる。
これは上で選んだ ω のスカラー倍になる。
を固定し、上で定まるスカラーを fλ(θ) と書くと、一意に線形形式
が存在して、任意の に対して λ ∧ θ = fλ(θ) ω となる。
この線形形式に対し、リースの表現定理により一意に (n − k)-ベクトル、 が存在し、
を満たす。言いかえると、この (n − k)-ベクトル ⋆λ は 内積
により導かれた同型の下で fλ の像となる。このようにして、
が得られる。
ホッジスターの計算
ω = e1 ∧ … ∧ en となるように順序付けされた直交基底 (e1, ..., en) が与えられると、
と計算できる。
より一般に偶置換 (i1, i2, ..., in) に対しても
となることが分かる。
スター作用素のインデックス記法
インデックス記法を使うと、ホッジ双対は、n-次元完全反対称レヴィ・チヴィタテンソル(Levi-Civita tensor)と k-形式の添字の縮約により得られる。これはレヴィ・チヴィタの記号から|det g|1/2 だけずれている。ここでg を内積(計量テンソル)とした。ここで行列式は、たとえばローレンツ多様体の接空間のようにg が正定値でない場合もあるので絶対値をとる必要がある。
このように、
と書く。ここに η は k の任意の反対称テンソルである。レヴィ・チヴィタテンソル同じ内積 g を使い、レヴィ・チヴィタテンソルの定義と同様に、インデックスを上げたり下げたりする(indices are raised and lowered)。任意のテンソルを同じように表示できるが、結果は反対称である。これはテンソルの対称な成分が完全反対称レヴィ・チヴィタ記号との縮約により消去されるからである。
例
スター作用素のよく知られた例は、n = 3 次元の場合で、このとき 3 次元のベクトルと 3 × 3 歪対称行列の対応と見なすことができる。これはベクトル解析において暗に使われていて、たとえば、2つのベクトルのウェッジ積からクロス積を作りだすことができる。特に、ユークリッド空間 R3 では、容易に、
であることが分かる。ここに dx, dy, dz は R3 上の標準の直交な微分 1-形式である。3次元におけるホッジ双対は、明らかにクロス積とウェッジ積を関連付ける。微分幾何学へ限定しない詳細な説明は、パラグラフを改める。
3次元の例
ホッジ双対を3次元へ適用すると、軸性ベクトルと 2-ベクトル(bivector)の間の同型の間の同型、つまり軸性ベクトル a と 2-ベクトル A を対応させることができる。すなわち、
が成り立つ。ここに、⋆ は双対作用素を表す。これらの双対関係は、実、および複素クリフォード代数 Cl3(R) の単位擬スカラー(Unit pseudoscalar)の作用により以下のように記述できる。i = e1e2e3 (ベクトル {eℓ} は 3次元ユークリッド空間の中での直交基底である)は、次の関係式に従う。
ベクトルの双対は i をかけることにより得ることができる。これは次のように代数の幾何積(geometric product)の性質を使って説明できる。
また、{eℓem} により張られる双対空間においても、
である。ここでは次の関係式
および、
を用いた。
これらの双対 ⋆ と i 関係式は、任意のベクトルに対して適用できる。ここで双対は、クロス積 a = u × v として生成された軸性ベクトルを、2-ベクトルに値を持ち 2つの極(つまり、軸性ではない)ベクトル u と v の外積 A = u ∧ v へと関係付けることに適用される。2つの積は、行列式を使う同じ方法で、記法 eℓm = eℓem を使い、次のように書き表すことができる。
これらの表現は、2つのタイプのベクトルは、ℓ, m, n が巡回的(cyclic)な関係式
と、再び ℓ, m, n が巡回的な関係式
の 2つの結果として、ホッジ双対であることを示される。
i を用いた ⋆ の、よく使われている関係式 は、
である。
4次元
n = 4 の場合では、ホッジ双対は 2-ベクトルのなす空間の自己準同型として作用する(つまり、 4 − 2 = 2 であるので、ホッジ双対は 2-形式から 2-形式への写像である)。このときホッジ双対は対合であり、よって、ホッジ双対は自分から自分自身への自己双対と反自己双対な部分空間へ分解し、その上でホッジ双対がそれぞれ 1 , −1 として作用する。
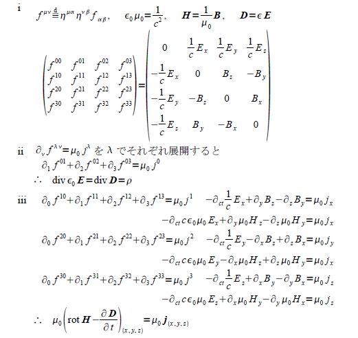
他の有用な例は、n = 4 次元の計量の符号 ( − − −) と 座標 (t, x, y, z) を使いミンコフスキー空間に対し、(ε0123 = 1 を使い、) 1-形式に対し、
であり、一方、2-形式に対し、
である。
双対性
ホッジスターは双対性を定義する、つまりホッジスターを二回適用することで符号を除き外積代数の恒等写像を定める。n-次元空間 V の中の の k-ベクトルが与えられると、
を得る。ここに s は V 上の内積の計量の符号(metric signature)である。特に、s は内積テンソルの行列式の符号である。このように、たとえば、n = 4 で内積の符号が、( − − −) 、または、(− ) であれば、s = −1 である。通常のユークリッド空間では符号は常に正であり、従って、s = 1 である。ホッジスターが擬リーマン多様体へ拡張されると、上の内積は対角形式での計量であると理解される。
上のことから、⋆ の逆写像が
で与えられることがわかる。n が奇数であれば、任意の k に対し k(n − k) は偶数であり、n が偶数であれば、k(n − k) と k の偶奇はひとしい。従って、
である。ここに k は作用した形式の次数である。
多様体上のホッジスター
上の構成を向きづけられた n次元のリーマン多様体、あるいは擬リーマン多様体の余接空間に対しても適用でき、k-形式のホッジ双対 (n − k)-形式を得る。すると、ホッジスターは多様体上の微分形式のL2-ノルムである内積を与える。 の切断 η と ζ に対し、
である(切断の集合は、 と書かれることが多い。Ωk(M) の元は、外 k-形式と呼ばれる)。
さらに一般的には、向き付けされていない場合は、k-形式のホッジスターを (n − k)-擬微分形式(pseudo differential form)、すなわち、標準ラインバンドル Ωn(M) に値を持つ微分形式として定義することができる。
余微分形式
多様体上のホッジ双対の最も重要な応用は、余微分(codifferential) δ を定義することである。
とする。ここに、リーマン多様体に対し、d は外微分、s = 1 とする。
d: Ωk(M) → Ωk 1(M) に対し、δ: Ωk(M) → Ωk−1(M) である。
余微分は反微分ではない。これは外微分と異なる。
余微分は外微分に随伴する、すなわち ⟨η, δζ⟩ = ⟨dη, ζ⟩ である。
ここに ζ は (k 1)-形式であり、η は k-形式である。
これは滑らかな微分形式に対するストークスの定理より従う。このことは
となるとき、つまり、M は境界を持たないか、または、η あるいは ⋆ζ が境界値が 0 を持っているときである。
(もちろん、真の随伴性は、滑らかな微分形式の閉包として、適切な位相ベクトル空間への連続に接続した後に、これらの事実が成り立つ。)
注意すべきは、微分形式は、d2 = 0を満たすので、余微分は対応する性質 をみたす。
ラプラス・ド・ラーム作用素(en:Laplace–Beltrami_operator)は ∆ = (δ d)2 = δd dδ で与えられ、
ホッジ理論の心臓部をなす。この作用素は対称、すなわち ⟨∆ζ, η⟩ = ⟨ζ, ∆η⟩ であり、
非負 ⟨∆η, η⟩ ≥ 0 である。
ホッジ双対は、調和形式を調和形式へ写像する。ホッジ理論の結果として、ド・ラームコホモロジーは自然に調和 k-形式の空間と同型となり、ホッジスターはコホモロジー群
の同型をもたらす。これは H k(M) のポアンカレ双対性と標準的に同一視される。
3次元での微分
3次元では、⋆ 作用素と外微分 d の組み合わせは、古典的作用素 grad、curl、div を生成する。このことは次のようにして分かる。d は、0-形式(函数)から 1-形式へ、1-形式から 2-形式へ、2-形式から 3-形式へ(3-形式へ作用させると 0 となる)作用素である。0-形式 ω = f(x, y, z) に対し、成分表示された第一の場合は、grad 作用素と同一視される。
第二の場合は、⋆ 作用素により、1-形式上の作用素 (η = A dx B dy C dz) を成分で示すと、curl 作用素である。
ホッジスター作用素を適用することは、次を意味する。
最後の場合は、⋆ を作用させると、1-形式 (η = A dx B dy C dz) から 0-形式(函数)を得て、成分で示すと div 作用素である。
この表現の有利な点のひとつは、どの場合でも成り立つ恒等式 d2 = 0 が、残る 2つをまとめ、curl(grad( f )) = 0 と div(curl(F)) = 0 と得る。特に、マクスウェルの方程式は、外微分とホッジスター作用素で表すと、特別に単純でエレガントな形となる。
ラプラシアンも得ることができる。上の情報と ∆ f = div grad f という事実を使うと、0-形式 ω = f(x, y, z) に対し、
となる。
脚注
参考文献
- David Bleecker (1981) Gauge Theory and Variational Principles. Addison-Wesley Publishing. ISBN 0-201-10096-7. Chpt. 0 contains a condensed review of non-Riemannian differential geometry.
- Jurgen Jost (2002) Riemannian Geometry and Geometric Analysis. Springer-Verlag. ISBN 3-540-42627-2. A detailed exposition starting from basic principles; does not treat the pseudo-Riemannian case.
- Charles W. Misner, Kip S. Thorne, John Archibald Wheeler (1970) Gravitation. W.H. Freeman. ISBN 0-7167-0344-0. A basic review of differential geometry in the special case of four-dimensional spacetime.
- Steven Rosenberg (1997) The Laplacian on a Riemannian manifold. Cambridge University Press. ISBN 0-521-46831-0. An introduction to the heat equation and the Atiyah-Singer theorem.
- Tevian Dray (1999) The Hodge Dual Operator. A thorough overview of the definition and properties of the Hodge dual operator.




